Documentation
CalculationCenter
Functions
Lists & Matrices
List Manipulation
|
Select
Select[list, crit] picks out all elements ei of list for which crit[ei] is True.
Select[list, crit, n] picks out the first n elements for which crit[ei] is True.

Examples
Using InstantCalculators
Here is an InstantCalculator for the Select function. Enter the parameters for your calculation and click Calculate to see the result.
In[1]:=
Out[1]=
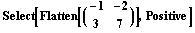
This InstantCalculator enables you to select elements of a matrix that meet a specified condition. Enter the parameters for your calculation and click Calculate to see the result.
In[2]:=
Out[2]=
Entering Commands Directly
You can paste a template for this command via the Text Input button on the Select Function Controller.
In[3]:=
Out[3]=
In[4]:=
Out[4]=
|