-
函数
- ButcherAlpha
- ButcherBeta
- ButcherBetaBar
- ButcherColumnConditions
- ButcherGamma
- ButcherHeight
- ButcherOrder
- ButcherPhi
- ButcherPlot
- ButcherPlotColumns
- ButcherPlotLabel
- ButcherPlotNodeSize
- ButcherPlotRootSize
- ButcherPrincipalError
- ButcherQuadratureConditions
- ButcherRowConditions
- ButcherRowSum
- ButcherSigma
- ButcherSimplify
- ButcherTreeCount
- ButcherTreeQ
- ButcherTrees
- ButcherTreeSimplify
- ButcherWidth
- DiagonallyImplicit
- Explicit
- False
- GaussianQuadratureError
- GaussianQuadratureWeights
- Implicit
- NewtonCotesError
- NewtonCotesWeights
- RungeKuttaMethod
- RungeKuttaOrderConditions
- True
- $RungeKuttaMethod
-
-
函数
- ButcherAlpha
- ButcherBeta
- ButcherBetaBar
- ButcherColumnConditions
- ButcherGamma
- ButcherHeight
- ButcherOrder
- ButcherPhi
- ButcherPlot
- ButcherPlotColumns
- ButcherPlotLabel
- ButcherPlotNodeSize
- ButcherPlotRootSize
- ButcherPrincipalError
- ButcherQuadratureConditions
- ButcherRowConditions
- ButcherRowSum
- ButcherSigma
- ButcherSimplify
- ButcherTreeCount
- ButcherTreeQ
- ButcherTrees
- ButcherTreeSimplify
- ButcherWidth
- DiagonallyImplicit
- Explicit
- False
- GaussianQuadratureError
- GaussianQuadratureWeights
- Implicit
- NewtonCotesError
- NewtonCotesWeights
- RungeKuttaMethod
- RungeKuttaOrderConditions
- True
- $RungeKuttaMethod
-
函数
Numerical Differential Equation Analysis Package
The NumericalDifferentialEquationAnalysis package combines functionality for analyzing differential equations using Butcher trees, Gaussian quadrature, and Newton–Cotes quadrature.
Butcher
Runge–Kutta methods are useful for numerically solving certain types of ordinary differential equations. Deriving high‐order Runge–Kutta methods is no easy task, however. There are several reasons for this. The first difficulty is in finding the so‐called order conditions. These are nonlinear equations in the coefficients for the method that must be satisfied to make the error in the method of order for some integer
where
is the step size. The second difficulty is in solving these equations. Besides being nonlinear, there is generally no unique solution, and many heuristics and simplifying assumptions are usually made. Finally, there is the problem of combinatorial explosion. For a twelfth‐order method there are 7813 order conditions!
This package performs the first task: finding the order conditions that must be satisfied. The result is expressed in terms of unknown coefficient ,
, and
. The
‐stage Runge–Kutta method to advance from
to
is then
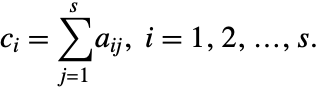
Sums of the elements in the rows of the matrix occur repeatedly in the conditions imposed on
and
. In recognition of this and as a notational convenience it is usual to introduce the coefficients
and the definition
This definition is referred to as the row‐sum condition and is the first in a sequence of row‐simplifying conditions.
If for all
the method is explicit; that is, each of the
is defined in terms of previously computed values. If the matrix
is not strictly lower triangular, the method is implicit and requires the solution of a (generally nonlinear) system of equations for each time step. A diagonally implicit method has
for all
.
There are several ways to express the order conditions. If the number of stages is specified as a positive integer, the order conditions are expressed in terms of sums of explicit terms. If the number of stages is specified as a symbol, the order conditions will involve symbolic sums. If the number of stages is not specified at all, the order conditions will be expressed in stage‐independent tensor notation. In addition to the matrix
and the vectors
and
, this notation involves the vector
, which is composed of all ones. This notation has two distinct advantages: it is independent of the number of stages
and it is independent of the particular Runge–Kutta method.
For further details of the theory see the references.
ai,j | the coefficient of ![]() ![]() |
bj | the coefficient of ![]() ![]() |
fi | a notational convenience for ![]() |
e | a notational convenience for the vector ![]() |
t | the symbol used in continuous output for Runge–Kutta methods |
Notation used by functions for Butcher.
RungeKuttaOrderConditions[p,s] | give a list of the order conditions that any s‐stage Runge–Kutta method of order p must satisfy |
ButcherPrincipalError[p,s] | give a list of the order p+1 terms appearing in the Taylor series expansion of the error for an order p, s‐stage Runge–Kutta method |
RungeKuttaOrderConditions[p], ButcherPrincipalError[p] | give the result in stage‐independent tensor notation |
Functions associated with the order conditions of Runge–Kutta methods.
ButcherRowSum | specify whether the row‐sum conditions for the ![]() |
ButcherSimplify | specify whether to apply Butcher's row and column simplifying assumptions |
Some options for RungeKuttaOrderConditions.
It should be noted that the sums involved on the left‐hand sides of the order conditions will be left in symbolic form and not expanded if the number of stages is left as a symbolic argument. This will greatly simplify the results for high‐order, many‐stage methods. An even more compact form results if you do not specify the number of stages at all and the answer is given in tensor form.

RungeKuttaMethod | specify the type of Runge–Kutta method for which order conditions are being sought |
Explicit | a setting for the option RungeKuttaMethod specifying that the order conditions are to be for an explicit Runge–Kutta method |
DiagonallyImplicit | a setting for the option RungeKuttaMethod specifying that the order conditions are to be for a diagonally implicit Runge–Kutta method |
Implicit | a setting for the option RungeKuttaMethod specifying that the order conditions are to be for an implicit Runge–Kutta method |
$RungeKuttaMethod | a global variable whose value can be set to Explicit, DiagonallyImplicit, or Implicit |
Controlling the type of Runge–Kutta method in RungeKuttaOrderConditions and related functions.
RungeKuttaOrderConditions and certain related functions have the option RungeKuttaMethod with default setting $RungeKuttaMethod. Normally you will want to determine the Runge–Kutta method being considered by setting $RungeKuttaMethod to one of Implicit, DiagonallyImplicit, or Explicit, but you can specify an option setting or even change the default for an individual function.
ButcherColumnConditions[p,s] | give the column-simplifying conditions up to and including order p for s stages |
ButcherRowConditions[p,s] | give the row-simplifying conditions up to and including order p for s stages |
ButcherQuadratureConditions[p,s] | give the quadrature conditions up to and including order p for s stages |
ButcherColumnConditions[p], ButcherRowConditions[p], etc. | give the result in stage‐independent tensor notation |
More functions associated with the order conditions of Runge–Kutta methods.
Butcher showed that the number and complexity of the order conditions can be reduced considerably at high orders by the adoption of so‐called simplifying assumptions. For example, this reduction can be accomplished by adopting sufficient row- and column-simplifying assumptions and quadrature‐type order conditions. The option ButcherSimplify in RungeKuttaOrderConditions can be used to determine these automatically.
Trees are fundamental objects in Butcher's formalism. They yield both the derivative in a power series expansion of a Runge–Kutta method and the related order constraint on the coefficients. This package provides a number of functions related to Butcher trees.
f | the elementary symbol used in the representation of Butcher trees |
ButcherTrees[p] | give a list, partitioned by order, of the trees for any Runge‐Kutta method of order p |
ButcherTreeSimplify[p,η,ξ] | give the set of trees through order p that are not reduced by Butcher's simplifying assumptions, assuming that the quadrature conditions through order p, the row-simplifying conditions through order η, and the column-simplifying conditions through order ξ all hold; the result is grouped by order, starting with the first nonvanishing trees |
ButcherTreeCount[p] | give a list of the number of trees through order p |
ButcherTreeQ[tree] | give True if the tree or list of trees tree is valid functional syntax, and False otherwise |
Constructing and enumerating Butcher trees.
The number of constraints for a method using row- and column-simplifying assumptions depends upon the number of stages. ButcherTreeSimplify gives the Butcher trees that are not reduced, assuming that these assumptions hold.
It is often useful to be able to visualize a tree or forest of trees graphically. For example, depicting trees yields insight, which can in turn be used to aid in the construction of Runge–Kutta methods.
ButcherPlot[tree] | give a plot of the tree tree |
ButcherPlot[{tree1,tree2,…}] | give an array of plots of the trees in the forest {tree1,tree2,…} |
ButcherPlotColumns | specify the number of columns in the GraphicsGrid plot of a list of trees |
ButcherPlotLabel | specify a list of plot labels to be used to label the nodes of the plot |
ButcherPlotNodeSize | specify a scaling factor for the nodes of the trees in the plot |
ButcherPlotRootSize | specify a scaling factor for the highlighting of the root of each tree in the plot; a zero value does not highlight roots |
Options to ButcherPlot.
In addition to generating and drawing Butcher trees, many functions are provided for measuring and manipulating them. For a complete description of the importance of these functions, see Butcher [1].
ButcherHeight[tree] | give the height of the tree tree |
ButcherWidth[tree] | give the width of the tree tree |
ButcherOrder[tree] | give the order, or number of vertices, of the tree tree |
ButcherAlpha[tree] | give the number of ways of labeling the vertices of the tree tree with a totally ordered set of labels such that if (m,n) is an edge, then m<n |
ButcherBeta[tree] | give the number of ways of labeling the tree tree with ButcherOrder[tree]-1 distinct labels such that the root is not labeled, but every other vertex is labeled |
ButcherBeta[n,tree] | give the number of ways of labeling n of the vertices of the tree with n distinct labels such that every leaf is labeled and the root is not labeled |
ButcherBetaBar[tree] | give the number of ways of labeling the tree tree with ButcherOrder[tree] distinct labels such that every node, including the root, is labeled |
ButcherBetaBar[n,tree] | give the number of ways of labeling n of the vertices of the tree with n distinct labels such that every leaf is labeled |
ButcherGamma[tree] | give the density of the tree tree; the reciprocal of the density is the right‐hand side of the order condition imposed by tree |
ButcherPhi[tree,s] | give the weight of the tree tree; the weight Φ(tree) is the left‐hand side of the order condition imposed by tree |
ButcherPhi[tree] | give Φ(tree) using tensor notation |
ButcherSigma[tree] | give the order of the symmetry group of isomorphisms of the tree tree with itself |
Other functions associated with Butcher trees.
It is also possible to obtain solutions to the order conditions using Solve and related functions. Many issues related to the construction of Runge–Kutta methods using this package can be found in Sofroniou [6]. The article also contains details concerning algorithms used in Butcher.m and discusses applications.
Gaussian Quadrature
As one of its methods, the Wolfram Language function NIntegrate uses a fairly sophisticated Gauss–Kronrod‐based algorithm. The Gaussian quadrature functionality provided in NumericalDifferentialEquationAnalysis allows you to easily study some of the theory behind ordinary Gaussian quadrature, which is a little less sophisticated.
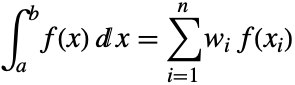
The basic idea behind Gaussian quadrature is to approximate the value if an integral has a linear combination of values of the integrand evaluated at specific points:
Since there are free parameters to be chosen (both the abscissas
and the weights
) and since both integration and the sum are linear operations, you can expect to be able to make the formula correct for all polynomials of degree less than about
. In addition to knowing what the optimal abscissas and weights are, it is often desirable to know how large the error in the approximation will be. This package allows you to answer both of these questions.
GaussianQuadratureWeights[n,a,b] | give a list of the pairs ![]() |
give the error to machine precision | |
give a list of the pairs ![]() | |
give the error to precision prec |
Finding formulas for Gaussian quadrature.


Newton–Cotes
As one of its methods, the Wolfram Language function NIntegrate uses a fairly sophisticated Gauss–Kronrod-based algorithm. Other types of quadrature formulas exist, each with its own advantages. For example, Gaussian quadrature uses values of the integrand at oddly spaced abscissas. If you want to integrate a function presented in tabular form at equally spaced abscissas, it will not work very well. An alternative is to use Newton–Cotes quadrature.
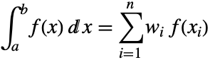
The basic idea behind Newton–Cotes quadrature is to approximate the value of an integral as a linear combination of values of the integrand evaluated at equally spaced points:
In addition, there is the question of whether or not to include the end points in the sum. If they are included, the quadrature formula is referred to as a closed formula. If not, it is an open formula. If the formula is open there is some ambiguity as to where the first abscissa is to be placed. The open formulas given in this package have the first abscissa one half step from the lower end point.
Since there are free parameters to be chosen (the weights) and since both integration and the sum are linear operations, you can expect to be able to make the formula correct for all polynomials of degree less than about
. In addition to knowing what the weights are, it is often desirable to know how large the error in the approximation will be. This package allows you to answer both of these questions.
NewtonCotesWeights[n,a,b] | give a list of the n pairs ![]() |
NewtonCotesError[n,f,a,b] | give the error in the formula |
Finding formulas for Newton‐Cotes quadrature.
option name | default value | |
QuadratureType | Closed | the type of quadrature, Open or Closed |
Option for NewtonCotesWeights and NewtonCotesError.

